
A flexible and efficient framework for data-driven stochastic disease spread simulations
The package provides an efficient and very flexible framework to conduct data-driven epidemiological modeling in realistic large scale disease spread simulations. The framework integrates infection dynamics in subpopulations as continuous-time Markov chains using the Gillespie stochastic simulation algorithm and incorporates available data such as births, deaths and movements as scheduled events at predefined time-points. Using C code for the numerical solvers and ‘OpenMP’ (if available) to divide work over multiple processors ensures high performance when simulating a sample outcome. One of our design goals was to make the package extendable and enable usage of the numerical solvers from other R extension packages in order to facilitate complex epidemiological research. The package contains template models and can be extended with user-defined models.
You can use one of the predefined compartment models in SimInf, for
example, SEIR. But you can also define a custom model ‘on the fly’ using
the model parser method mparse. The method takes a
character vector of transitions in the form of
X -> propensity -> Y and automatically generates the
C and R code for the model. The left hand side of the first arrow
(->) is the initial state, the right hand side of the
last arrow (->) is the final state, and the propensity
is written between the two arrows. The flexibility of the
mparse approach allows for quick prototyping of new models
or features. To illustrate the mparse functionality, let us
consider the SIR model in a closed population i.e., no births or deaths.
Let beta denote the transmission rate of spread between a
susceptible individual and an infectious individual and
gamma the recovery rate from infection (gamma
= 1 / average duration of infection). It is also possible to define
variables which can then be used in calculations of propensities or in
calculations of other variables. A variable is defined by the operator
<-. Using a variable for the size of the population, the
SIR model can be described as:
library(SimInf)
transitions <- c("S -> beta*S*I/N -> I",
"I -> gamma*I -> R",
"N <- S+I+R")
compartments <- c("S", "I", "R")The transitions and compartments variables
together with the constants beta and gamma can
now be used to generate a model with mparse. The model also
needs to be initialised with the initial condition u0 and
tspan, a vector of time points where the state of the
system is to be returned. Let us create a model that consists of 1000
replicates of a population, denoted a node in SimInf, that each
starts with 99 susceptibles, 5 infected and 0 recovered individuals.
n <- 1000
u0 <- data.frame(S = rep(99, n), I = rep(5, n), R = rep(0, n))
model <- mparse(transitions = transitions,
compartments = compartments,
gdata = c(beta = 0.16, gamma = 0.077),
u0 = u0,
tspan = 1:150)To generate data from the model and then print some basic information about the outcome, run the following commands:
result <- run(model)
result#> Model: SimInf_model
#> Number of nodes: 1000
#> Number of transitions: 2
#> Number of scheduled events: 0
#>
#> Global data
#> -----------
#> Parameter Value
#> beta 0.160
#> gamma 0.077
#>
#> Compartments
#> ------------
#> Min. 1st Qu. Median Mean 3rd Qu. Max.
#> S 1.00 19.00 30.00 40.74 60.00 99.00
#> I 0.00 0.00 4.00 6.87 11.00 47.00
#> R 0.00 28.00 67.00 56.39 83.00 103.00
There are several functions in SimInf to facilitate analysis and
post-processing of simulated data, for example, trajectory,
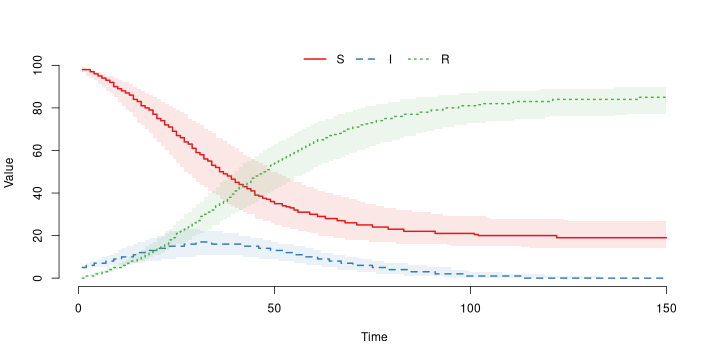
prevalence and plot. The default
plot will display the median count in each compartment
across nodes as a colored line together with the inter-quartile range
using the same color, but with transparency.
plot(result)
Most modeling and simulation studies require custom data analysis
once the simulation data has been generated. To support this, SimInf
provides the trajectory method to obtain a
data.frame with the number of individuals in each
compartment at the time points specified in tspan. Below is
the first 10 lines of the data.frame with simulated
data.
trajectory(result)#> node time S I R
#> 1 1 1 98 6 0
#> 2 2 1 98 6 0
#> 3 3 1 98 6 0
#> 4 4 1 99 5 0
#> 5 5 1 97 7 0
#> 6 6 1 98 5 1
#> 7 7 1 99 5 0
#> 8 8 1 99 5 0
#> 9 9 1 97 7 0
#> 10 10 1 97 6 1
...
Finally, let us use the prevalence method to explore the
proportion of infected individuals across all nodes. It takes a model
object and a formula specification, where the left hand side of the
formula specifies the compartments representing cases i.e., have an
attribute or a disease and the right hand side of the formula specifies
the compartments at risk. Below is the first 10 lines of the
data.frame.
prevalence(result, I ~ S + I + R)#> time prevalence
#> 1 1 0.05196154
#> 2 2 0.05605769
#> 3 3 0.06059615
#> 4 4 0.06516346
#> 5 5 0.06977885
#> 6 6 0.07390385
#> 7 7 0.07856731
#> 8 8 0.08311538
#> 9 9 0.08794231
#> 10 10 0.09321154
...
See the vignette to learn more about special features that the SimInf R package provides, for example, how to:
use continuous state variables
use the SimInf framework from another R package
incorporate available data such as births, deaths and movements as scheduled events at predefined time-points.
You can install the released version of SimInf from CRAN
install.packages("SimInf")or use the remotes package to install the development
version from GitHub
library(remotes)
install_github("stewid/SimInf")We refer to section 3.1 in the vignette for detailed installation instructions.
In alphabetical order: Pavol Bauer
, Robin Eriksson
, Stefan Engblom
, and Stefan Widgren
(Maintainer)
Any suggestions, bug reports, forks and pull requests are appreciated. Get in touch.
SimInf is research software. To cite SimInf in publications, please use:
Widgren S, Bauer P, Eriksson R, Engblom S (2019) SimInf: An R Package for Data-Driven Stochastic Disease Spread Simulations. Journal of Statistical Software, 91(12), 1–42. doi: 10.18637/jss.v091.i12
Bauer P, Engblom S, Widgren S (2016) Fast event-based epidemiological simulations on national scales. International Journal of High Performance Computing Applications, 30(4), 438–453. doi: 10.1177/1094342016635723
This software has been made possible by support from the Swedish Research Council within the UPMARC Linnaeus center of Excellence (Pavol Bauer, Robin Eriksson, and Stefan Engblom), the Swedish Research Council Formas (Stefan Engblom and Stefan Widgren), the Swedish Board of Agriculture (Stefan Widgren), the Swedish strategic research program eSSENCE (Stefan Widgren), and in the framework of the Full Force project, supported by funding from the European Union’s Horizon 2020 Research and Innovation programme under grant agreement No 773830: One Health European Joint Programme (Stefan Widgren).
The SimInf package uses semantic versioning.
The SimInf package is licensed under the GPLv3.