You can install:
install.packages('ggDoE')
if (!require("pak")) install.packages("pak")
::pak("toledo60/ggDoE") pak
With ggDoE you’ll be able to generate common plots used in Design of Experiments with ggplot2.
library(ggDoE)
The following plots are currently available:
The following datasets/designs are included in ggDoE as tibbles:
adapted_epitaxial: Adapted epitaxial layer
experiment obtain from the book
“Experiments: Planning,
Analysis, and Optimization, 2nd Edition”
original_epitaxial: Original epitaxial layer
experiment obtain from the book
“Experiments: Planning,
Analysis, and Optimization, 2nd Edition”
pulp_experiment: Reflectance Data, Pulp
Experiment obtain from the book
“Experiments: Planning,
Analysis, and Optimization, 2nd Edition”
girder_experiment: Girder experiment obtain from
the book
“Experiments: Planning, Analysis, and Optimization,
2nd Edition”
aliased_design: D-efficient minimal aliasing
design obtained from the article
“Efficient Designs With
Minimal Aliasing by Bradley Jones and Christopher J.
Nachtsheim”
If you want to cite this package in a scientific journal or in any
other context, run the following code in your R
console
citation('ggDoE')
Warning in citation("ggDoE"): could not determine year for 'ggDoE' from package
DESCRIPTION file
To cite package 'ggDoE' in publications use:
Toledo Luna J (????). _ggDoE: Modern Graphs for Design of Experiments
with 'ggplot2'_. R package version 0.8, <https://ggdoe.netlify.app>.
A BibTeX entry for LaTeX users is
@Manual{,
title = {ggDoE: Modern Graphs for Design of Experiments with 'ggplot2'},
author = {Jose {Toledo Luna}},
note = {R package version 0.8},
url = {https://ggdoe.netlify.app},
}
I welcome feedback, suggestions, issues, and contributions! Check out the CONTRIBUTING file for more details.
Correlation matrix plot to visualize the Alias matrix
alias_matrix(design=aliased_design)
<- lm(s2 ~ (A+B+C+D),data = adapted_epitaxial)
model boxcox_transform(model,lambda = seq(-5,5,0.2))
Obtain the trace plot of the t-statistics after applying Boxcox transformation across a specified sequence of lambda values
<- lm(s2 ~ (A+B+C)^2,data=original_epitaxial)
model lambda_plot(model)
lambda_plot(model, lambda = seq(0,2,by=0.1))
<- ToothGrowth
data $dose <- factor(data$dose,levels = c(0.5, 1, 2),
datalabels = c("D0.5", "D1", "D2"))
gg_boxplots(data,y = 'len',x = 'dose')
gg_boxplots(data,y = 'len',x = 'dose',
group_var = 'supp',
color_palette = 'viridis',
jitter_points = TRUE)
The default plots are 1-4
<- lm(mpg ~ wt + am + gear + vs * cyl, data = mtcars)
model gg_lm(model,which_plots=1:6)
<- lm(ybar ~ (A+B+C+D)^4,data=adapted_epitaxial)
model half_normal(model)
half_normal(model,method='Zahn',alpha=0.1,
ref_line=TRUE,label_active=TRUE,
margin_errors=TRUE)
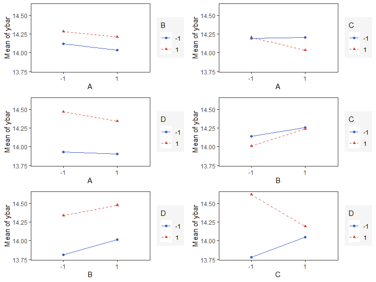
Interaction effects plot between two factors in a factorial design
interaction_effects(adapted_epitaxial,response = 'ybar',
exclude_vars = c('s2','lns2'))
interaction_effects(adapted_epitaxial,response = 'ybar',
exclude_vars = c('A','s2','lns2'),
n_columns=3)
Main effect plots for each factor in a factorial design
main_effects(original_epitaxial,
response='s2',
exclude_vars = c('A','ybar','lns2'),
color_palette = 'viridis',
n_columns=3)
contour plot(s) that display the fitted surface for an rsm object involving two or more numerical predictors
<- rsm::rsm(ave ~ SO(x1, x2, x3, x4),
heli.rsm data = rsm::heli)
gg_rsm(heli.rsm,formula = ~x1+x2+x3+x4,
at = rsm::xs(heli.rsm))
Pareto plot of effects with cutoff values for the margin of error (ME) and simultaneous margin of error (SME)
<- lm(lns2 ~ (A+B+C+D)^4,data=original_epitaxial)
model pareto_plot(model)
pareto_plot(model,method='Zahn',alpha=0.1)
This function will output all two dimensional projections from a Latin hypercube design
set.seed(10)
<- lhs::randomLHS(n=10, k=4)
X pair_plots(X,n_columns=3,grid = TRUE)