r.univar
Calculates univariate statistics from the non-null cells of a raster map.
Statistics include number of cells counted, minimum and maximum cell values, range, arithmetic mean, population variance, standard deviation, coefficient of variation, and sum.
r.univar [-getr] map=name [,name,...] [zones=name] [output=name] [percentile=float [,float,...]] [nprocs=integer] [separator=character] format=name [--overwrite] [--verbose] [--quiet] [--qq] [--ui]
Example:
r.univar map=name format=plain
grass.tools.Tools.r_univar(map, zones=None, output=None, percentile=90, nprocs=0, separator=None, format="plain", flags=None, overwrite=None, verbose=None, quiet=None, superquiet=None)
Example:
tools = Tools()
tools.r_univar(map="name", format="json")
This grass.tools API is experimental in version 8.5 and expected to be stable in version 8.6.
grass.script.parse_command("r.univar", map, zones=None, output=None, percentile=90, nprocs=0, separator=None, format="plain", flags=None, overwrite=None, verbose=None, quiet=None, superquiet=None)
Example:
gs.parse_command("r.univar", map="name", format="json")
Parameters
map=name [,name,...] [required]
Name of raster map(s)
zones=name
Raster map used for zoning, must be of type CELL
output=name
Name for output file (if omitted or "-" output to stdout)
percentile=float [,float,...]
Percentile to calculate (requires extended statistics flag)
Allowed values: 0-100
Default: 90
nprocs=integer
Number of threads for parallel computing
0: use OpenMP default; >0: use nprocs; <0: use MAX-nprocs
Default: 0
separator=character
Field separator
Special characters: pipe, comma, space, tab, newline
format=name [required]
Output format
Allowed values: plain, shell, csv, json
Default: plain
plain: Human readable text output
shell: shell script style text output
csv: CSV (Comma Separated Values)
json: JSON (JavaScript Object Notation)
-g
Print the stats in shell script style [deprecated]
This flag is deprecated and will be removed in a future release. Use format=shell instead.
-e
Calculate extended statistics
-t
Table output format instead of standard output format [deprecated]
This flag is deprecated and will be removed in a future release. Use format=csv instead.
-r
Use the native resolution and extent of the raster map, instead of the current region
--overwrite
Allow output files to overwrite existing files
--help
Print usage summary
--verbose
Verbose module output
--quiet
Quiet module output
--qq
Very quiet module output
--ui
Force launching GUI dialog
map : str | list[str], required
Name of raster map(s)
Used as: input, raster, name
zones : str | np.ndarray, optional
Raster map used for zoning, must be of type CELL
Used as: input, raster, name
output : str, optional
Name for output file (if omitted or "-" output to stdout)
Used as: output, file, name
percentile : float | list[float] | str, optional
Percentile to calculate (requires extended statistics flag)
Allowed values: 0-100
Default: 90
nprocs : int, optional
Number of threads for parallel computing
0: use OpenMP default; >0: use nprocs; <0: use MAX-nprocs
Default: 0
separator : str, optional
Field separator
Special characters: pipe, comma, space, tab, newline
Used as: input, separator, character
format : str, required
Output format
Used as: name
Allowed values: plain, shell, csv, json
plain: Human readable text output
shell: shell script style text output
csv: CSV (Comma Separated Values)
json: JSON (JavaScript Object Notation)
Default: plain
flags : str, optional
Allowed values: g, e, t, r
g
Print the stats in shell script style [deprecated]
This flag is deprecated and will be removed in a future release. Use format=shell instead.
e
Calculate extended statistics
t
Table output format instead of standard output format [deprecated]
This flag is deprecated and will be removed in a future release. Use format=csv instead.
r
Use the native resolution and extent of the raster map, instead of the current region
overwrite : bool, optional
Allow output files to overwrite existing files
Default: None
verbose : bool, optional
Verbose module output
Default: None
quiet : bool, optional
Quiet module output
Default: None
superquiet : bool, optional
Very quiet module output
Default: None
Returns:
result : grass.tools.support.ToolResult | None
If the tool produces text as standard output, a ToolResult object will be returned. Otherwise, None will be returned.
Raises:
grass.tools.ToolError: When the tool ended with an error.
map : str | list[str], required
Name of raster map(s)
Used as: input, raster, name
zones : str, optional
Raster map used for zoning, must be of type CELL
Used as: input, raster, name
output : str, optional
Name for output file (if omitted or "-" output to stdout)
Used as: output, file, name
percentile : float | list[float] | str, optional
Percentile to calculate (requires extended statistics flag)
Allowed values: 0-100
Default: 90
nprocs : int, optional
Number of threads for parallel computing
0: use OpenMP default; >0: use nprocs; <0: use MAX-nprocs
Default: 0
separator : str, optional
Field separator
Special characters: pipe, comma, space, tab, newline
Used as: input, separator, character
format : str, required
Output format
Used as: name
Allowed values: plain, shell, csv, json
plain: Human readable text output
shell: shell script style text output
csv: CSV (Comma Separated Values)
json: JSON (JavaScript Object Notation)
Default: plain
flags : str, optional
Allowed values: g, e, t, r
g
Print the stats in shell script style [deprecated]
This flag is deprecated and will be removed in a future release. Use format=shell instead.
e
Calculate extended statistics
t
Table output format instead of standard output format [deprecated]
This flag is deprecated and will be removed in a future release. Use format=csv instead.
r
Use the native resolution and extent of the raster map, instead of the current region
overwrite : bool, optional
Allow output files to overwrite existing files
Default: None
verbose : bool, optional
Verbose module output
Default: None
quiet : bool, optional
Quiet module output
Default: None
superquiet : bool, optional
Very quiet module output
Default: None
DESCRIPTION
r.univar calculates the univariate statistics of one or several raster map(s). This includes the number of cells counted, minimum and maximum cell values, range, arithmetic mean, population variance, standard deviation, coefficient of variation, and sum. Statistics are calculated separately for every category/zone found in the zones input map if given. If the -e extended statistics flag is given the 1st quartile, median, 3rd quartile, and given percentile are calculated. If the format=shell is given the results are presented in a format suitable for use in a shell script. If the format=csv is given the results are presented in tabular format with the given field separator. The table can immediately be converted to a vector attribute table which can then be linked to a vector, e.g. the vector that was rasterized to create the zones input raster.
When multiple input maps are given to r.univar, the overall statistics are calculated. This is useful for a time series of the same variable, as well as for the case of a segmented/tiled dataset. Allowing multiple raster maps to be specified saves the user from using a temporary raster map for the result of r.series or r.patch.
NOTES
As with most GRASS raster modules, r.univar operates on the raster array defined by the current region settings, not the original extent and resolution of the input map. See g.region, but also the wiki page on the computational region to understand the impact of the region settings on the calculations.
This module can use large amounts of system memory when the -e extended statistics flag is used with a very large region setting. If the region is too large the module should exit gracefully with a memory allocation error. Basic statistics can be calculated using any size input region. Extended statistics can be calculated using r.stats.quantile.
Without a zones input raster, the r.quantile module will be significantly more efficient for calculating percentiles with large maps.
For calculating univariate statistics from a raster map based on vector polygon map and uploads statistics to new attribute columns, see v.rast.stats.
The g flag has been deprecated and replaced by the format=shell option. Also, the t flag has been deprecated and replaced by the format=csv option.
The default separator will be pipe to maintain backward compatibility; however, if format=csv is given, then the default separator will be comma.
PERFORMANCE
r.univar supports parallel processing using OpenMP. The user can specify the number of threads to be used with the nprocs parameter. However, parallelization is disabled when the raster mask is set.
Due to the differences in summation order, users may encounter small floating points discrepancies when r.univar is run on very large raster files when different nprocs parameters are used. However, since the work allocation among threads is static, users should expect to have the same results when run with the same number of threads.

Figure: Benchmark shows execution time for different number of cells
and cores. See benchmark scripts in source code.
EXAMPLES
Univariate statistics
In this example, the raster map elevation in the North Carolina sample
dataset is used to calculate univariate statistics:
g.region raster=elevation -p
# standard output, along with extended statistics
r.univar -e elevation percentile=98
total null and non-null cells: 2025000
total null cells: 0
Of the non-null cells:
----------------------
n: 2025000
minimum: 55.5788
maximum: 156.33
range: 100.751
mean: 110.375
mean of absolute values: 110.375
standard deviation: 20.3153
variance: 412.712
variation coefficient: 18.4057 %
sum: 223510266.558102
1st quartile: 94.79
median (even number of cells): 108.88
3rd quartile: 126.792
98th percentile: 147.727
# script style output, along with extended statistics
r.univar -e elevation percentile=98 format=shell
n=2025000
null_cells=0
cells=2025000
min=55.5787925720215
max=156.329864501953
range=100.751071929932
mean=110.375440275606
mean_of_abs=110.375440275606
stddev=20.3153233205981
variance=412.712361620436
coeff_var=18.4056555243368
sum=223510266.558102
first_quartile=94.79
median=108.88
third_quartile=126.792
percentile_98=147.727
Here's how to calculate percentiles for the elevation raster map
from the North Carolina sample dataset using Python:
import grass.script as gs
# Run the r.univar command with JSON output format, along with extended
# statistics.
stats = gs.parse_command(
"r.univar",
map="elevation",
flags="e",
percentile=[90, 95, 98],
format="json",
)
for p in stats["percentiles"]:
print(f"percentile_{p['percentile']}: {p['value']}")
percentile_90: 128.5538330078125
percentile_95: 130.60475158691406
percentile_98: 132.13844299316406
Zonal statistics
In this example, the raster polygon map basins in the North Carolina
sample dataset is used to calculate raster statistics for zones for
elevation raster map:
g.region raster=basins -p
This will set and print computational region in the format:
projection: 99 (Lambert Conformal Conic)
zone: 0
datum: nad83
ellipsoid: a=6378137 es=0.006694380022900787
north: 228500
south: 215000
west: 630000
east: 645000
nsres: 10
ewres: 10
rows: 1350
cols: 1500
cells: 2025000
Check basin's IDs using:
r.category basins
This will print them in the format:
2
4
6
8
10
12
14
16
18
20
22
24
26
28
30
Visualization of them underlying elevation map can be created as:
d.mon wx0
d.rast map=elevation
r.colors map=elevation color=grey
d.rast map=basins
r.colors map=basins color=bgyr
d.legend raster=basins use=2,4,6,8,10,12,14,16,18,20,22,24,26,28,30
d.barscale

Figure: Zones (basins, opacity: 60%) with
underlying elevation map for North Carolina sample dataset.
Then statistics for elevation can be calculated separately for every zone, i.e. basin found in the zones parameter:
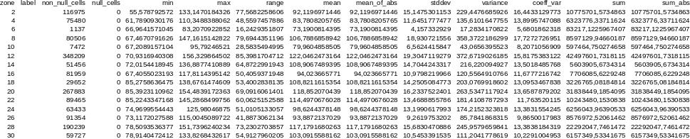
r.univar map=elevation zones=basins format=csv \
output=basin_elev_zonal.csv
This will print information in the format:
zone,label,non_null_cells,null_cells,min,max,range,mean,mean_of_abs,
stddev,variance,coeff_var,sum,sum_abs2,,116975,0,55.5787925720215,
133.147018432617,77.5682258605957,92.1196971445722,92.1196971445722,
15.1475301152556,229.447668592576,16.4433129773355,10775701.5734863,
10775701.57348634,,75480,0,61.7890930175781,110.348838806152,
48.5597457885742,83.7808205765268,83.7808205765268,11.6451777476995,
135.610164775515,13.8995747088232,6323776.33711624,6323776.33711624
6,,1137,0,66.9641571044922,83.2070922851562,16.2429351806641,
73.1900814395257,73.1900814395257,4.15733292896409,17.2834170822492,
5.68018623179036,83217.1225967407,83217.12259674078,,80506,
0,67.4670791625977,147.161514282227, ...
Comma Separated Values (CSV) file is best viewed through a spreadsheet program such as Microsoft Excel, Libre/Open Office Calc or Google Docs:

Figure: Raster statistics for zones
(basins, North Carolina sample dataset) viewed through Libre/Open Office
Calc.
JSON Output
r.univar -e elevation percentile=98 format=json
will output the results in JSON format:
{
"n": 2025000,
"null_cells": 0,
"cells": 2025000,
"min": 55.578792572021484,
"max": 156.32986450195312,
"range": 100.75107192993164,
"mean": 110.37544027560575,
"mean_of_abs": 110.37544027560575,
"stddev": 20.315323320598083,
"variance": 412.7123616204363,
"coeff_var": 18.40565552433679,
"sum": 223510266.55810165,
"first_quartile": 94.789985656738281,
"median": 108.87990570068359,
"third_quartile": 126.79196929931641,
"percentiles": [
{
"percentile": 98,
"value": 147.7265625
}
]
}
TODO
To be implemented mode, skewness, kurtosis.
SEE ALSO
g.region, r3.univar, r.mode, r.quantile, r.series, r.stats, r.stats.quantile, r.stats.zonal, r.statistics, v.rast.stats, v.univar
AUTHORS
Hamish Bowman, Otago University, New Zealand
Extended statistics by Martin Landa
Multiple input map support by Ivan Shmakov
Zonal loop by Markus Metz
SOURCE CODE
Available at: r.univar source code
(history)
Latest change: Thursday Jan 22 21:46:05 2026 in commit b166c02